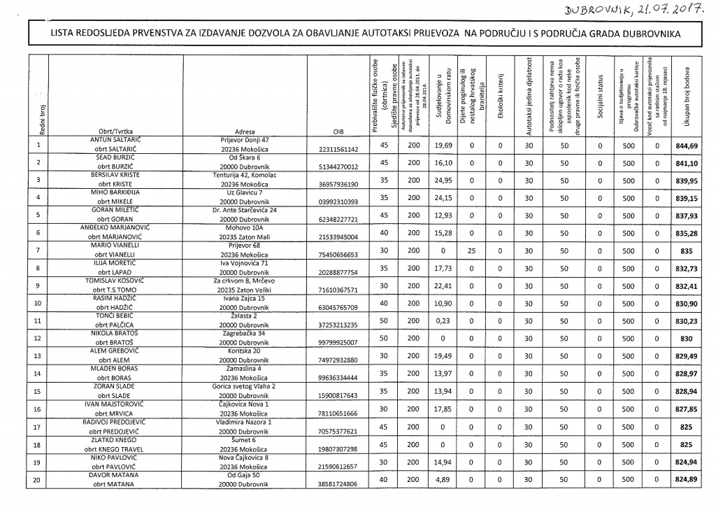
Lista redoslijeda prvenstva za izdavanje dozvola za autotaksi prijevoz
Na temelju Javnog natječaja za podnošenje zahtjeva za izdavanje dozvola za autotaksi prijevoz i provedenog postupka obrade i evaluacije pristiglih zahtjeva, utvrđena je lista redoslijeda prvenstva za izdavanje dozvola.
Sukladno Odluci o autotaksi prijevozu na području i s područja Grada Dubrovnika („Službeni glasnik Grada Dubrovnika“, broj: 10/16., 14/16., 16/16. i  8/17.), podnositeljima zahtjeva koji su ostvarili pravo na dozvolu nadležni Upravni odjel za turizam, poduzetništvo i more  će redovnim putem uputiti rješenja te nakon pravomoćnosti istih uručiti dozvole.
Lista se nalazi u privitku.
Dokumenti uz članak
Lista_redoslijeda_prvenstva_za_izdavanje_dozvola_za_autotaksi_prijevoz.pdf